Zastupnici u Domu naroda FBiH naplatili paušale, vikende, odvojeni život i regres
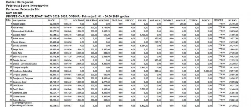
Za angažman 73 profesionalna delegata u Domu naroda Parlamenta FBiH u razdoblju od 1. siječnja do 30. lipnja ove godine izdvojeno je više od dva milijuna maraka. Prema javno dostupnim podacima na stranici ovog doma, u razdoblju u kojem je održano osam sjednica, za plaće delegata isplaćeno je 1.443.904 KM.
Naknade za topli obrok iznosile su 133.274 KM, one za odvojeni život 117.810 KM, dio delegata koristio je i naknade troškova posjete obitelji tijekom vikenda, za što im je ukupno osigurano 70.542 KM, dok su troškovi smještaja jednog dijela profesionalaca iznosili 29.800 maraka. U prvih šest mjeseci dio delegata imao je pravo i na paušal, pa je u tu svrhu usmjereno 124.800 KM, ukupne naknade za rad u komisijama iznosile su 18.900 maraka, dok su svi delegati koristili i regres u ukupnom iznosu od 55.620 KM, saznaje Avaz.

Zbog korištenja prava na otpremninu u ovom razdoblju, za što mu je isplaćeno 19.148 maraka, Mladen Lonić iz SDP-a prvi je na listi delegata koji su ostvarili najveća primanja. On je za šest mjeseci inkasirao ukupno 51.760 maraka. Dopredsjedatelj Doma naroda FBiH Slađan Ilić (SDP) naplatio je 35.763 KM, predsjedatelj Tomislav Martinović (HDZ BiH) 35.733 KM, a delegati Ivo Tadić (HDZ BiH) 35.276 KM, Svetlana Kamenjaš (HDZ BiH) 34.759 KM, Nikola Materić (SNSD) 33.988 KM, Mladen Šarić (HDZ 1990) 33.721 KM, Mehmed Mahmić (SDA) 33.553 KM, Hikmet Hodžić (SDA) 33.499 KM, Ivica Pavković (HDZ BiH) 33.467 KM…
Prema podacima iz Doma naroda, osam delegata nije profesionaliziralo svoj status i njihove naknade po osnovi paušala i dnevnica za pola godine iznosile su 34.733 KM. Zanimljivo je i da su najmanja primanja ostvarile Silva Banović (NiP), kojoj je za šest mjeseci isplaćeno 766,95 KM, te Ivana Buntić – Jovanović (HDZ BiH), koja je u ovom razdoblju naplatila svega 141,90 KM.