Cigarete u BiH ponovno poskupljuju, objavljeni novi cjenici
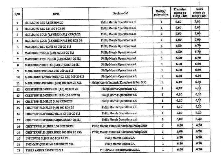
Distributeri cigareta u Bosni i Hercegovini dostavili su nove maloprodajne cijene koje stupaju na snagu tijekom veljače i ožujka 2026. godine. Riječ je o ažuriranim cjenicima za proizvode kompanija TDR, Philip Morris i NELT, koje je zaprimila Uprava za neizravno oporezivanje BiH.
Prema dostavljenim dokumentima:
nove cijene proizvoda TDR-a primjenjuju se od 13. veljače 2026. godine


cjenik za Philip Morris proizvode vrijedi od 19. veljače 2026. godine


NELT je nove cijene prijavio s početkom primjene od 9. ožujka 2026. godine

Na cjenicima se nalaze brojni poznati brendovi cigareta i duhanskih proizvoda, uključujući Marlboro, Chesterfield, Lucky Strike, Rothmans, Dunhill, Winston, Sobranie, Camel, Drina, Eva i Terea. Većina proizvoda bilježi povećanje cijena u rasponu od 0,20 do 0,30 KM po kutiji, ovisno o proizvođaču i vrsti proizvoda.
Nove cijene odnose se na klasične cigarete, slim varijante, kao i na grijane duhanske proizvode, a primjenjuju se u skladu s važećim propisima o trošarinama i formiranju maloprodajnih cijena.